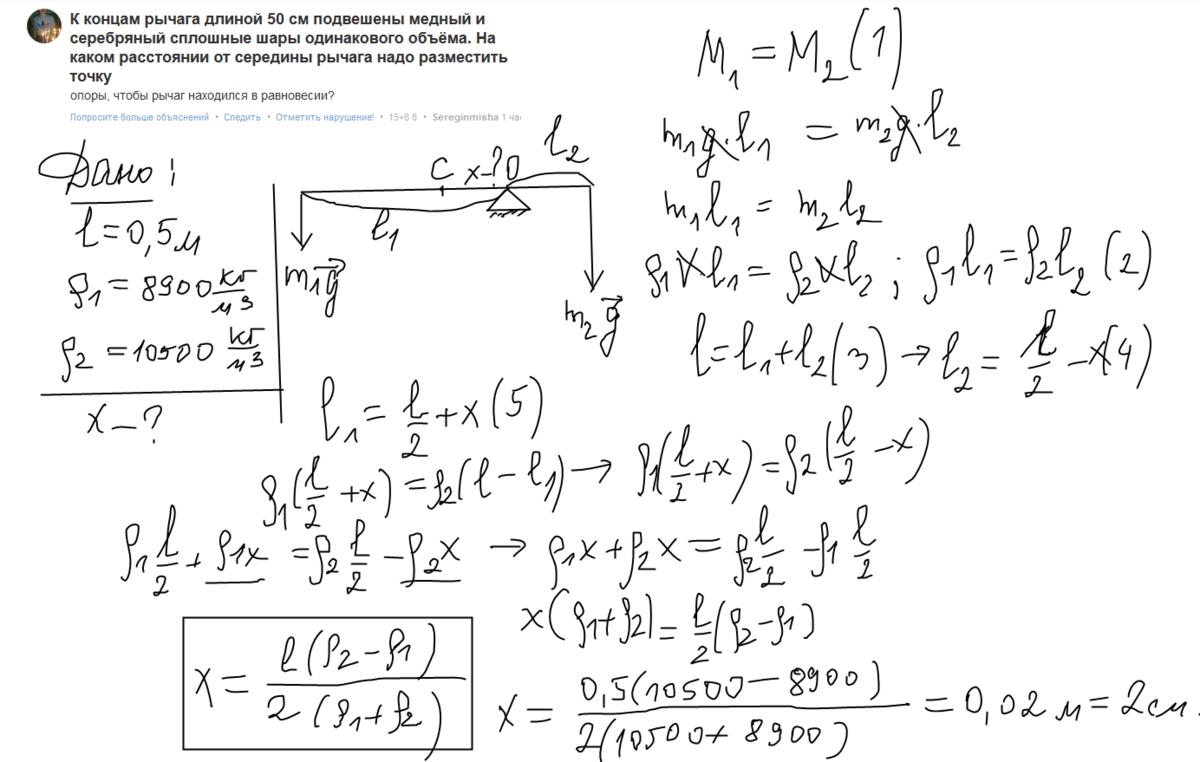
К концам рычага длиной 50 см подвешены медный и серебряный сплошные шары одинакового объёма. на каком расстоянии от середины рычага надо разместить
точку опоры, чтобы рычаг находился в равновесии. Плотность меди = 8900 кг/м3, плотность серебра = 10500 кг/м3. поиск
Ответы
Ответ дал:
1
смотри решение на фото в приложенном файле
Приложения:

Вас заинтересует
2 года назад
2 года назад
2 года назад
2 года назад
7 лет назад
9 лет назад