• Предмет: Алгебра
  • Автор: лёлик9767
  • Вопрос задан 11 лет назад

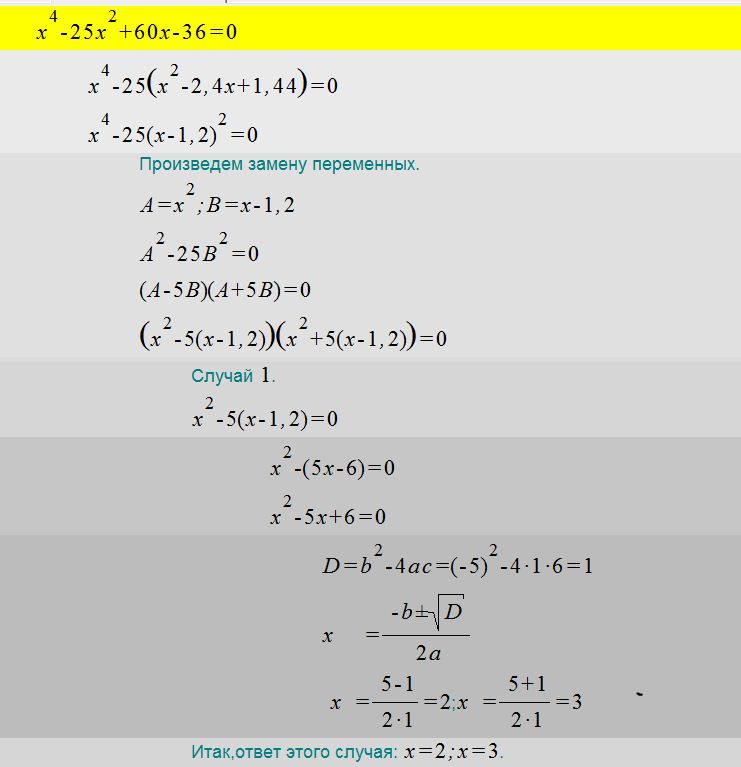
x в четвертой степени минус25xв квадрате плюс 60x-36=0

Ответы

Ответ дал: Аноним
0

cм.рис

======================================================

 

Приложения:
Ответ дал: Nekk221
0

x4-25x2+60x-36=0

64x-24x2=36

40x-x2=36

x-x2=3

-x=-1

x=1

Приложения:
Вас заинтересует