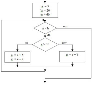
2. Определить значение целочисленной переменной с после выполнения следующего фрагмента блок-схемы:
Приложения:
Ответы
Ответ дал:
1
a=20,c=15(если не ошибся то так)
Вас заинтересует
2 года назад
2 года назад
7 лет назад
7 лет назад
9 лет назад