Ответы
Ответ дал:
1
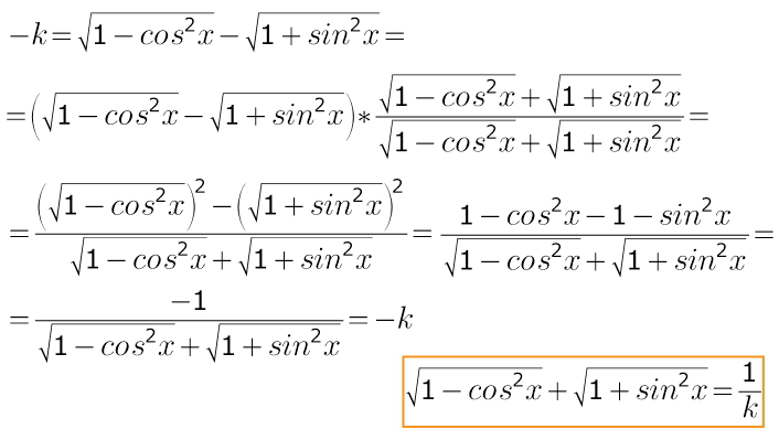
можно заметить, что это сопряженные выражения...
т.е. их произведение даст формулу разность квадратов)))
т.е. их произведение даст формулу разность квадратов)))
Приложения:

Molotok1998:
добавил 3 часть
Вас заинтересует
2 года назад
2 года назад
2 года назад
7 лет назад
7 лет назад
9 лет назад
9 лет назад