С краткой записью!!))
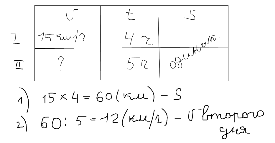
В первый день туристы ехали на велосипедах 4 часа со скоростью 15км/ч. Во второй день они проехали на велосипедах такое же расстояние, но за 5 часов. С какой скоростью ехали туристы на велосипедах во второй день?
Ответы
Ответ дал:
13
Смотри прикрепленный рисунок
Приложения:

Jessica55:
Спасибо
Вас заинтересует
2 года назад
2 года назад
2 года назад
7 лет назад
9 лет назад