Ответы
Ответ дал:
1
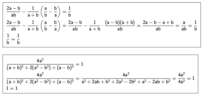
Смотри вкладыши.
Если непонятно - спрашивай.
Если непонятно - спрашивай.
Приложения:

Ответ дал:
0
Смотрите решение в прикреплённом файле.
Приложения:

Вас заинтересует
2 года назад
2 года назад
2 года назад
7 лет назад
7 лет назад