• Предмет: Алгебра
  • Автор: Natashka11122012
  • Вопрос задан 11 лет назад

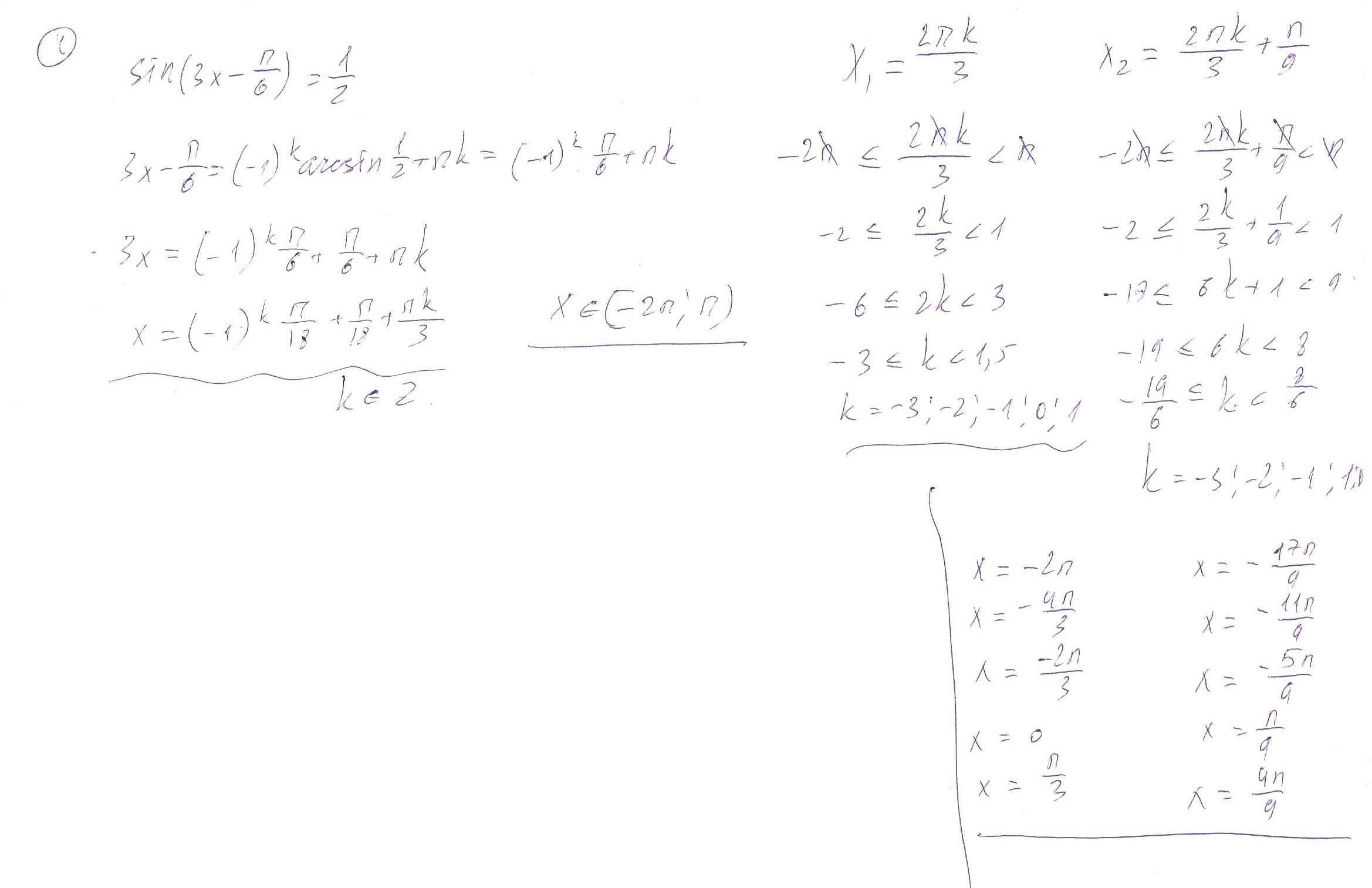
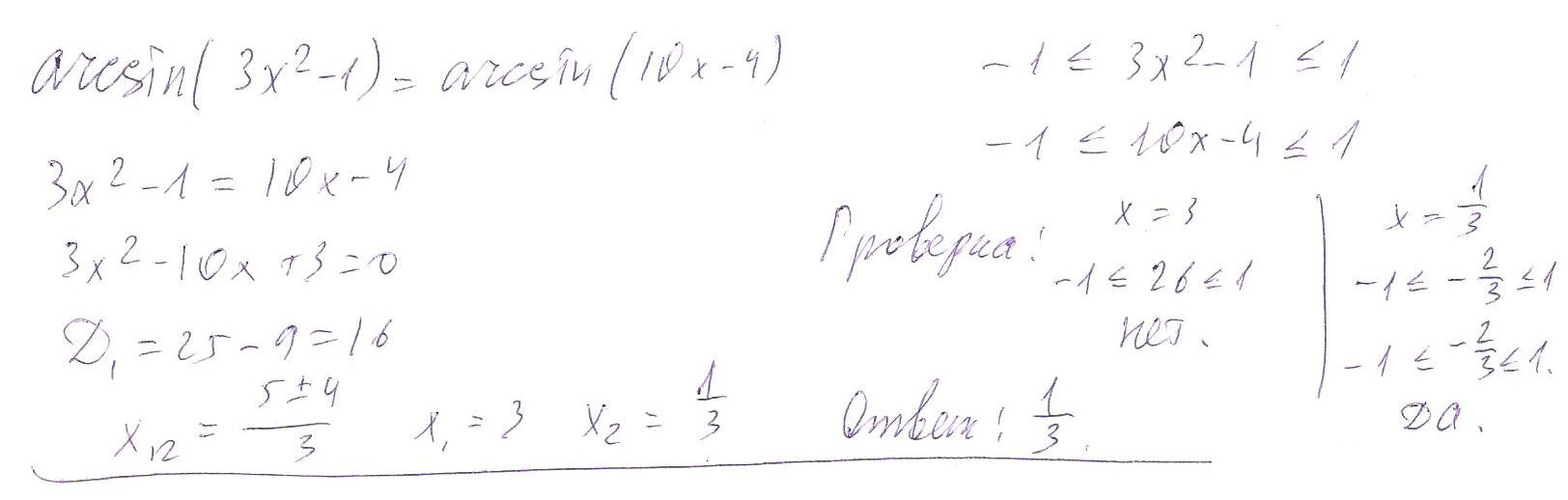
ребят, помогите пожалуйста 4 и 7 задания первого варианта решить..... не была на этих темах и не все понятно

Приложения:

Ответы

Ответ дал: Artem112
0

надеюсь будет понятно...

Приложения:
Вас заинтересует