Ответы
Ответ дал:
0
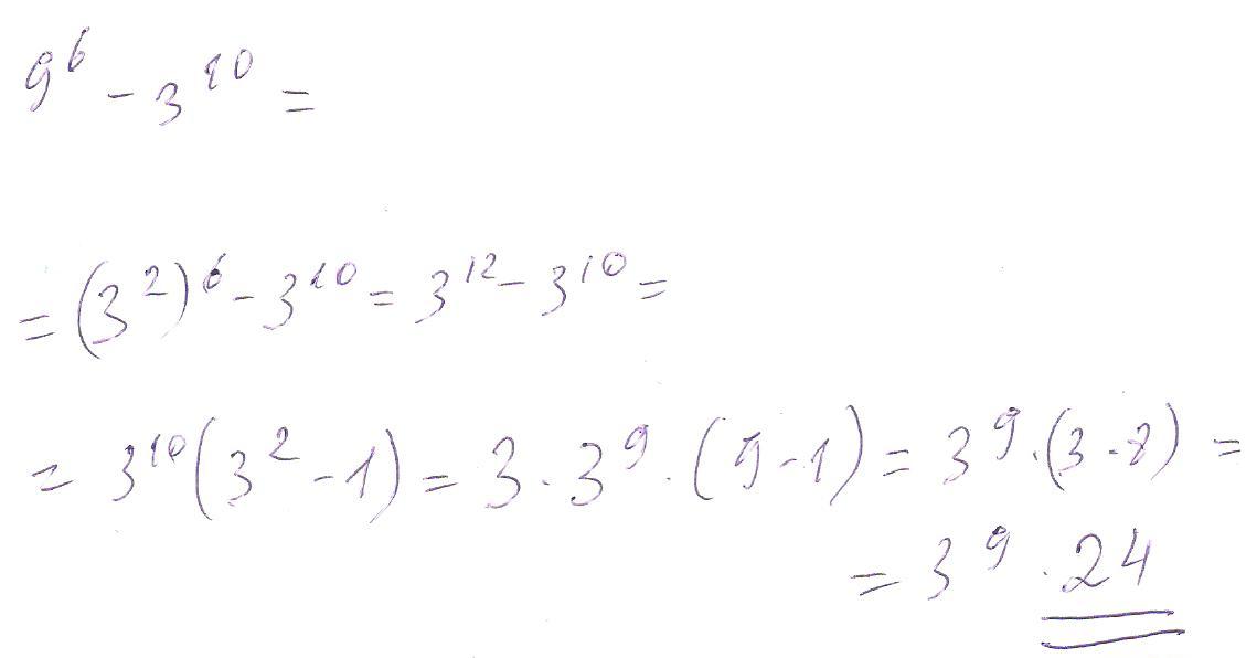
если в произведение хотя бы один множитель делится на 24, то и все произведение делится на 24, а где там это все - смотрим картинку...
Приложения:

Вас заинтересует
2 года назад
8 лет назад
8 лет назад
10 лет назад
10 лет назад
10 лет назад