Найдите значение выражения применив распределительное свойство умножения: 5/8*(-3,62)-1,18*5/8
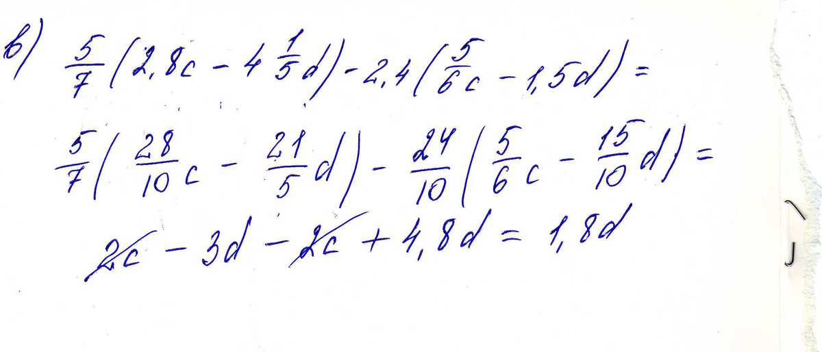
Упростите выражение: а) 6+4а - 5а + а - 7а. б) 5(-2) - 6(n+3)-3(2n-9) в)5/7(2,8c - 4 1/5d) - 2,4(5/6c-1,5d)
Решите уравнение: 0,8(х-2)-0,7(х-1)=2,7
Ответы
Ответ дал:
4
0.8(х-2)-0,7(х-1)=2,7
0,8х-1,6-0,7х+0,7=2,7
0,1х=2,7+1,6-0,7
0,1х=3,6
х=36
5(-2) - 6(n+3)-3(2n-9) =-10-6п-18-6п+18=-10-12п=-2(5+6п)
6+4а - 5а + а - 7а=6-7а
0,8х-1,6-0,7х+0,7=2,7
0,1х=2,7+1,6-0,7
0,1х=3,6
х=36
5(-2) - 6(n+3)-3(2n-9) =-10-6п-18-6п+18=-10-12п=-2(5+6п)
6+4а - 5а + а - 7а=6-7а
Приложения:

13042012dasha:
Спасибо
Вас заинтересует
2 года назад
2 года назад
2 года назад
2 года назад
9 лет назад
9 лет назад