• Предмет: Математика
  • Автор: Аноним
  • Вопрос задан 11 лет назад

а)3,6/х-1=7,8/6,5               например это 1,2/8,8 типо дроби 

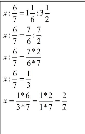
б)х:6/7=1 целая 1/6:3целых 1/2

 

Ответы

Ответ дал: triolana
0

в первом не понятно куда 1 относится? К знаменателю?

===========================

Приложения:
Вас заинтересует