• Предмет: Физика
  • Автор: Кристалл1997
  • Вопрос задан 2 года назад

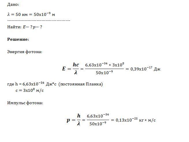
Определить энергию и импульс фотонов ультрафиолетового излучения с длиной волны 50 нм.

Ответы

Ответ дал: livres
23

Решение во вложении:

Приложения:
Вас заинтересует