Ответы
Ответ дал:
2
f ' (x) = 5x^4 - 9x^2 + 4 из условия равенства производной нулю,
найдем точки экстремума
биквадратное уравнение
D = 81-80 = 1
x^2 = (9-1)/10 = 0.8
x^2 = (9+1)/10 = 1
x1;2 = +-2 / √5
x3;4 = +-1
в указанный отрезок попадает только х=-1 --это точка максимума
f(-1) = -1+3-4 = -2
найдем точки экстремума
биквадратное уравнение
D = 81-80 = 1
x^2 = (9-1)/10 = 0.8
x^2 = (9+1)/10 = 1
x1;2 = +-2 / √5
x3;4 = +-1
в указанный отрезок попадает только х=-1 --это точка максимума
f(-1) = -1+3-4 = -2
Приложения:

Ответ дал:
2
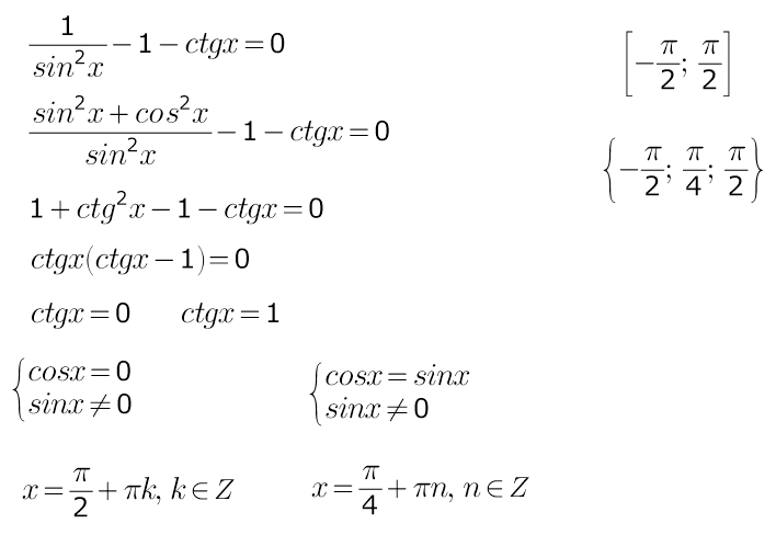
C-1 a) 



1.

2.

б)![[-\frac{ \pi }{2};\frac{ \pi }{2}] [-\frac{ \pi }{2};\frac{ \pi }{2}]](https://tex.z-dn.net/?f=%5B-%5Cfrac%7B+%5Cpi+%7D%7B2%7D%3B%5Cfrac%7B+%5Cpi+%7D%7B2%7D%5D)

B-15
![[-3;-1] [-3;-1]](https://tex.z-dn.net/?f=%5B-3%3B-1%5D)


посторонний
посторонний
при любом х
возрастает на ![[-3;-1] [-3;-1]](https://tex.z-dn.net/?f=%5B-3%3B-1%5D)
Принимает наибольшее значение в точке -1

1.
2.
б)
B-15
Принимает наибольшее значение в точке -1
Вас заинтересует
2 года назад
2 года назад
7 лет назад
7 лет назад
9 лет назад