Ответы
Ответ дал:
1
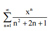
По признаку Даламбера сходимости ряда:
D=lim(n->inf)((x^(n+1)/((n+1)^2+2n+2)/(x^n/(n^2+2n))=lim(n->inf)(x*(n^2+2n)/(n^2+4n+3))=lim(n->inf)(x*(1+2/n)/(1+4/n+3/n^2))=x.
Если D<1, то ряд сходится , то есть x<1.
Осталось проверить сходимость ряда при D=1, то есть x=1.
Получаем ряд SUM(n=1..inf)(1/(n^2+2n). Здесь можно проверить интегральным признаком Коши:
Соответствующий интеграл Int(1,inf)(dn/(n^2+2n)=0.5*Int(1,inf)(dn/n-dn/(n+2))=0.5(ln(n)-ln(n+2)) |1,inf = -0.5*ln(1+2/n)|1,inf)=-0.5*ln(1)+0.5ln(3)=0.5ln(3), то есть ряд сходится.
Итого ряд сходится при x<=1
D=lim(n->inf)((x^(n+1)/((n+1)^2+2n+2)/(x^n/(n^2+2n))=lim(n->inf)(x*(n^2+2n)/(n^2+4n+3))=lim(n->inf)(x*(1+2/n)/(1+4/n+3/n^2))=x.
Если D<1, то ряд сходится , то есть x<1.
Осталось проверить сходимость ряда при D=1, то есть x=1.
Получаем ряд SUM(n=1..inf)(1/(n^2+2n). Здесь можно проверить интегральным признаком Коши:
Соответствующий интеграл Int(1,inf)(dn/(n^2+2n)=0.5*Int(1,inf)(dn/n-dn/(n+2))=0.5(ln(n)-ln(n+2)) |1,inf = -0.5*ln(1+2/n)|1,inf)=-0.5*ln(1)+0.5ln(3)=0.5ln(3), то есть ряд сходится.
Итого ряд сходится при x<=1
Вас заинтересует
2 года назад
2 года назад
2 года назад
7 лет назад
9 лет назад
9 лет назад