• Предмет: Алгебра
  • Автор: pupokkkkk
  • Вопрос задан 11 лет назад

ПОМОГИТЕ ПОЖАЛУЙСТА!!!!

вычислите:

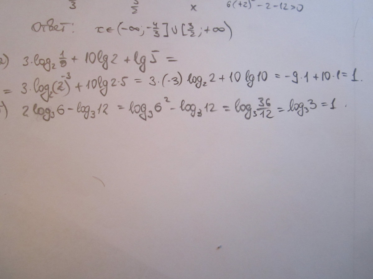
а)3log2 1/8+ 10^lg2+lg5

б)2lg3 6-log3 12

 

Ответы

Ответ дал: Zlatvoland
0

вот такое решение=)))) удачи с изучением алгебры=)

Приложения:
Вас заинтересует