Ответы
Ответ дал:
0
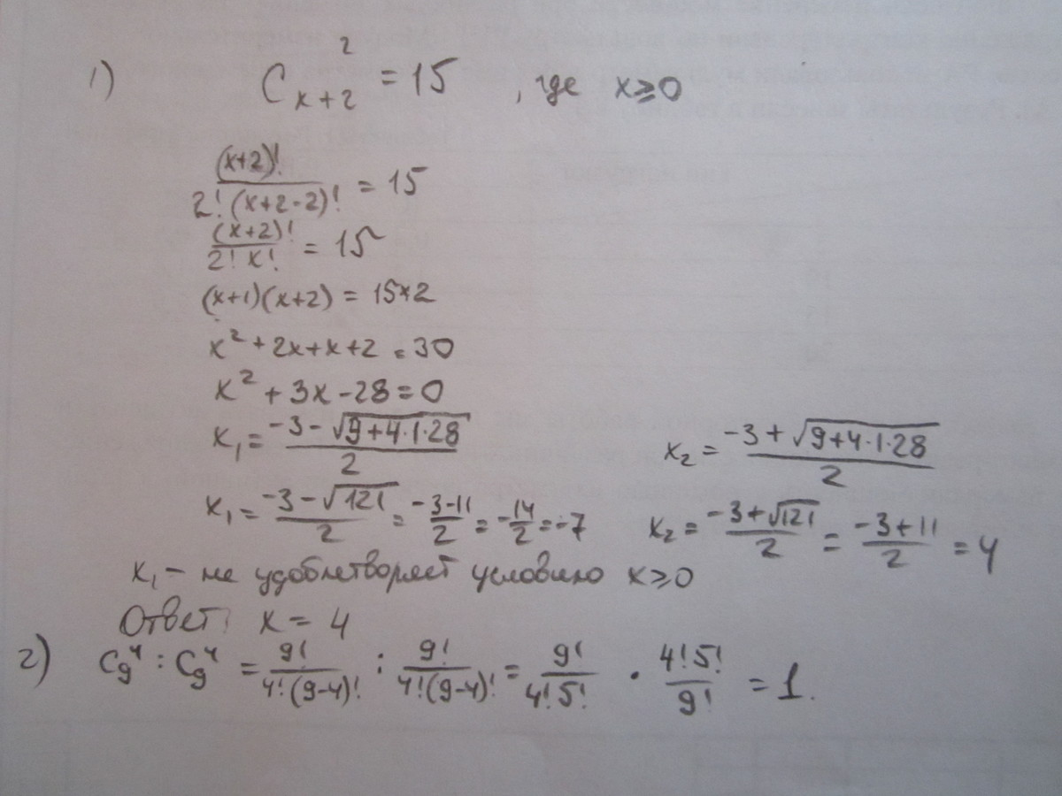
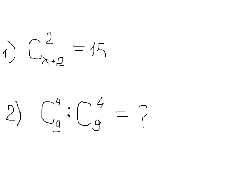
если под C подразумевается сочетания из комбинаторики ,то решение такое
Приложения:

Вас заинтересует
2 года назад
2 года назад
8 лет назад
8 лет назад
10 лет назад
10 лет назад
10 лет назад