Ответы
Ответ дал:
0
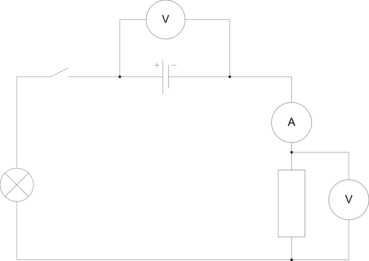
Ну вот, например, так, как во вложении.
Приложения:

Вас заинтересует
2 года назад
2 года назад
2 года назад
7 лет назад
9 лет назад
9 лет назад