• Предмет: Математика
  • Автор: Uznaika2
  • Вопрос задан 3 года назад

упростить вырожения Срочно
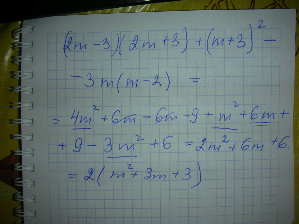
(2m-3)(2m+3)+(m+3)^2-3m(m-2)

Ответы

Ответ дал: juliika2001
1
= 4m2 + 6m - 6m - 9 + m2 + 6m + 9 - 3m2 + 6 = 2m2 + 6m + 6 = 2(m2 + 3m + 3)
Приложения:
Вас заинтересует