Ответы
Ответ дал:
4
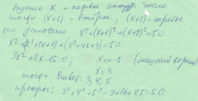
Ответ 3,4,5 (см решение)
Приложения:

Вас заинтересует
2 года назад
2 года назад
2 года назад
7 лет назад
7 лет назад
9 лет назад