Ответы
Ответ дал:
0
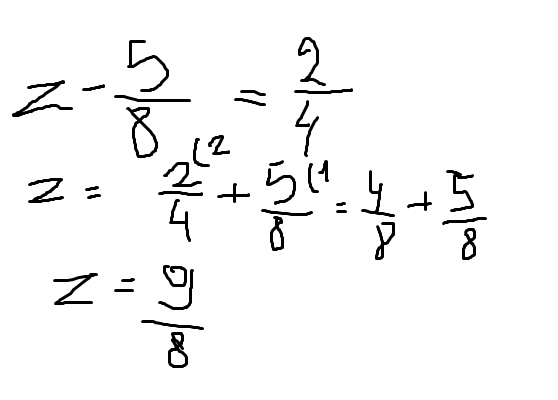
Извини почерк не очень понятный((((
Приложения:

Ответ дал:
0
z-5=2.4*8
z-5=19.2
z=19.2+5
z=24.2
Приложения:

Вас заинтересует
2 года назад
8 лет назад
8 лет назад
10 лет назад
10 лет назад