• Предмет: Алгебра
  • Автор: Art1st163
  • Вопрос задан 11 лет назад

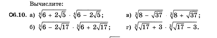
Вычислите  (фото внутри)
(корень 5 степени (под корнем) 6-2V17) *  (корень 5 степени (под корнем) 6+2V17)

 

V-это корень. объясните ход решения. можно не подробно, в кратце

Приложения:

Ответы

Ответ дал: Makka06
0

A)sqrt[4]{6+2sqrt{5}} * sqrt[4]{6 - 2sqrt{5}}

ВНОСИМ ВСЕ ПОД ОДИН КОРЕНЬ ПОЛУЧАЕМ
sqrt[4]{(6+2sqrt{5}) *{(6 - 2sqrt{5)}}} = sqrt[4]{36 +12sqrt{5} - 12sqrt{5} - 20}} =sqrt[4]{36 - 20}} </var><var> = sqrt[4]{16} = 2
Б)  sqrt[5]{(6 - 2sqrt{17)} * (6 + 2sqrt{17)}} = sqrt[5]{36 - 68} = sqrt[5]{-32} = -2
B)sqrt[3]{8 - sqrt{37}}* sqrt[3]{8 + sqrt{37}} = sqrt[3]{64 - 37} = sqrt[3]{27} = 3 
Г)sqrt[3]{sqrt{17}+3} *sqrt[3]{sqrt{17 }- 3} = sqrt[3]{17 - 9} =sqrt[3]{8} = 2  

Вас заинтересует