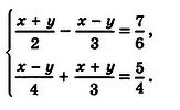
Я домножила, скобки раскрыла,у меня получилась система "х+3 у=7; 7 х+у=15" не знаю что дальше делать, помогите пожалуйста :3
Приложения:

Ответы
Ответ дал:
1
х=7-3y из первого
во второе 7-3у+y=15
-2у=15-7=8
отсюда у=8/(-2)=-4
х=7-3*(-4)=7+12=19
во второе 7-3у+y=15
-2у=15-7=8
отсюда у=8/(-2)=-4
х=7-3*(-4)=7+12=19
Вас заинтересует
2 года назад
2 года назад
2 года назад
2 года назад
7 лет назад
9 лет назад