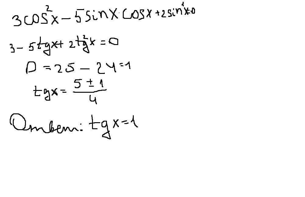
Пусть x0-наименьший положительный корень уравнения
x-5sinx*cosx+2=0
Найти tg0, помогите пожалуйста с решением
Ответы
Ответ дал:
1
______________________________
Приложения:

Вас заинтересует
2 года назад
2 года назад
2 года назад
2 года назад
7 лет назад
7 лет назад
9 лет назад