• Предмет: Математика
  • Автор: 89121518027
  • Вопрос задан 3 года назад

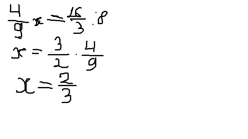
пять целых одна третья разделить на четыре девятых икс=одна целая пять седьмых разделить на три четырнадцатых.Помогите пожалуйста^^

Ответы

Ответ дал: Nartsu2
1
надеюсь ты поймёшь мои каракули)
Приложения:

89121518027: благодарю ^^
Вас заинтересует