• Предмет: Алгебра
  • Автор: Gleng111
  • Вопрос задан 3 года назад

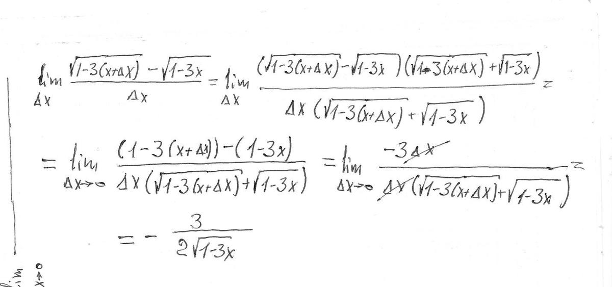
Пользуясь Определением, выведите формулу дифференцирования функции y=Корень из (1-3x)

Ответы

Ответ дал: Аноним
7
решение в файле.........................
Приложения:
Вас заинтересует