Ответы
Ответ дал:
2
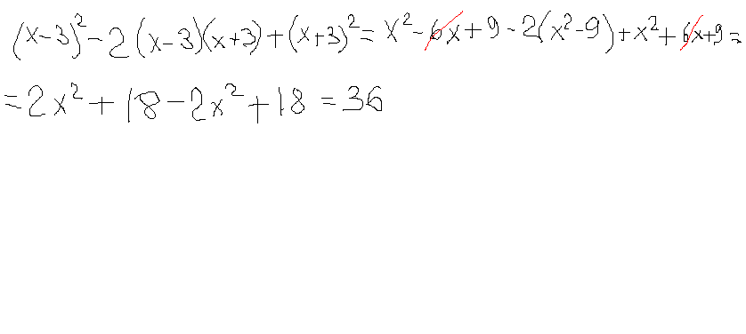
Значение выражения равно 36 при любом значении х
Приложения:

Вас заинтересует
2 года назад
2 года назад
7 лет назад
7 лет назад
9 лет назад