Ответы
Ответ дал:
2
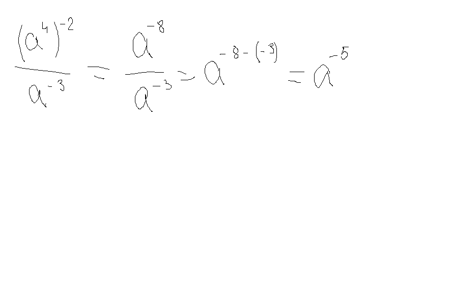
Надо повторить формулы
Приложения:

MarMaLade:
спасибо огромное ;)
Вас заинтересует
2 года назад
2 года назад
2 года назад
7 лет назад
9 лет назад