• Предмет: Математика
  • Автор: yanasolovieva21
  • Вопрос задан 3 года назад

помогите решить :6 класс номер 1304 1305 1306 1307


Аноним: а где примеры?
Tove: какой учебник и автор.
yanasolovieva21: виликен
Tove: номер 1304 это а) (x+y+z)?
yanasolovieva21: да
Tove: все буквы?
yanasolovieva21: да
yanasolovieva21: все номера полностью

Ответы

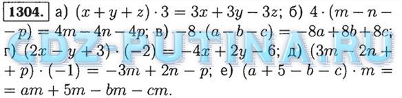
Ответ дал: Tove
1
Очень долго писать,поэтому вот. А на будущее. Пиши задание или автора учебника. А то непонятно.

Приложения:
Вас заинтересует