Ответы
Ответ дал:
0
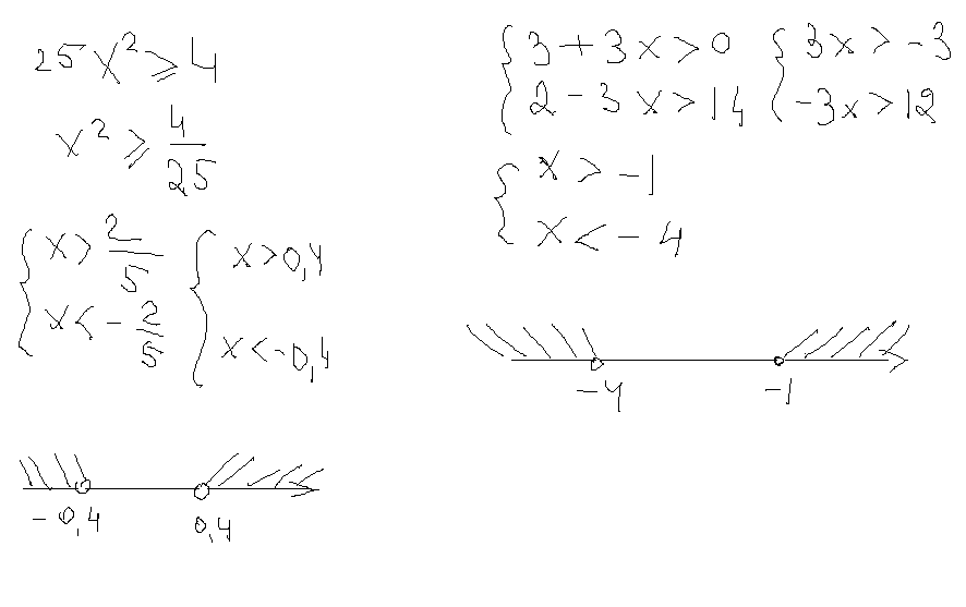
Не совсем понятно, кто ставил штрихи
Приложения:

Вас заинтересует
2 года назад
2 года назад
2 года назад
2 года назад
7 лет назад
7 лет назад
9 лет назад