• Предмет: Алгебра
  • Автор: kolobokbolobokk
  • Вопрос задан 3 года назад

При каких значениях a и b корнями уравнения являются числа -2;5

Приложения:

Ответы

Ответ дал: pocchtaa
2
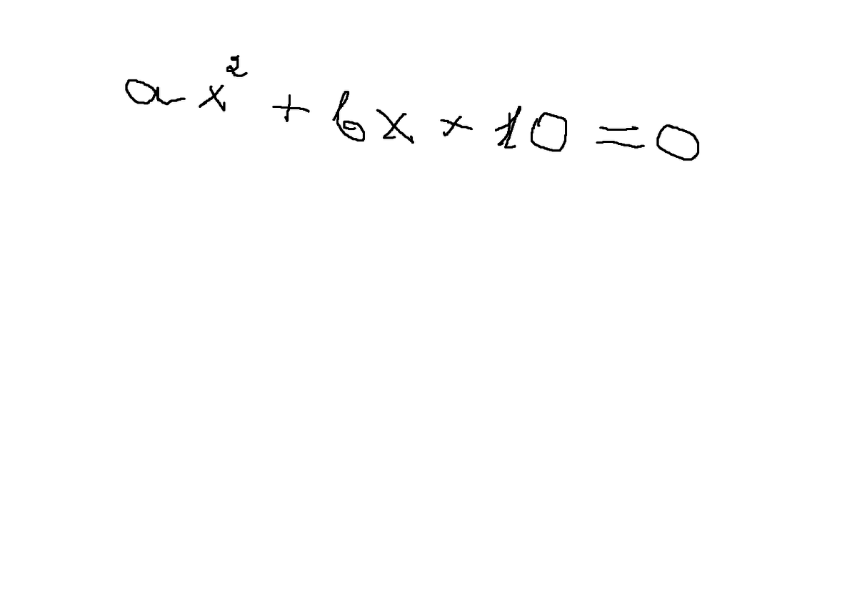
a x^{2} +bx+10=0

 \left \{ {{5-2= \frac{-b}{a} } \atop {5*(-2)= \frac{10}{a} }} \right.  \left \{ {{3= \frac{-b}{a}} \atop {-10=\frac{10}{a}}} \right.  \left \{ {{-b=3a} \atop {a=-1}} \right.  \left \{ {{b=-3a} \atop {a=-1}} \right.  \left \{ {{b=(-3)*(-1)} \atop {a=-1}} \right.  \left \{ {{b=3} \atop {a=-1}} \right.

-x^{2} +3x+10=0
Ответ дал: svetashchaulova
1
ах^2+бх=10 теперь подставим -2 и 5 вместо х. 4а-2б=10 и 25а+5б=10 из певрого уравнения получим что 4а=10+2б и поделим обе части на 4 а=2.5+0.5б из второго уравнения 25а=10-5б и а=0.4-0.2б 2.5+0.5б=0.4-0.2б отсюда 0.7б=-2.1 б=-3 а=1
Вас заинтересует