• Предмет: Алгебра
  • Автор: Аноним
  • Вопрос задан 3 года назад

Решить интегралы:
(5x^3-x+2) dx
(3x^-2+x^-6)dx
(5cosx-2sinx)dx

Ответы

Ответ дал: irinan2014
1
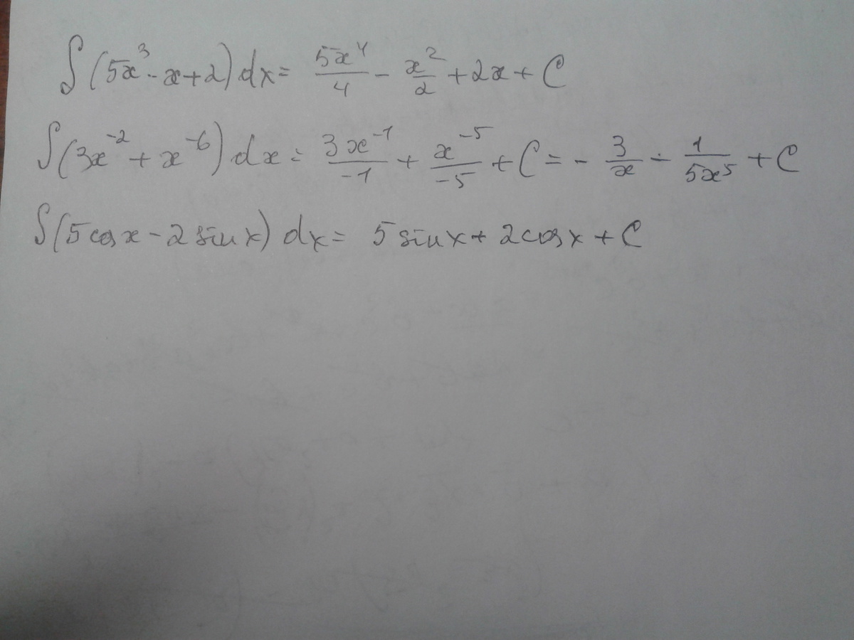
Ищем первообразные...................
Приложения:
Ответ дал: Аноним
1
 \int\limits {(5x^3-x+2)} \, dx = \frac{5x^4}{4} - \frac{x^2}{2} +2x+C

 \int\limits {(3x^{-2}+x^{-6})} \, dx = \int\limits {( \frac{3}{x^2} + \frac{1}{x^6})} \, dx = \frac{3x^{-1}}{-1}+ \frac{x^{-5}}{-5} +C =- \frac{15x^4+1}{5x^5} +C

 \int\limits {(5\cos x-2\sin x)} \, dx =5\sin x+2\cos x+C
Вас заинтересует