• Предмет: Алгебра
  • Автор: PolinaDub
  • Вопрос задан 3 года назад

Решите пожалуйста)))) Желательно с полным решением)

Приложения:

Ответы

Ответ дал: m11m
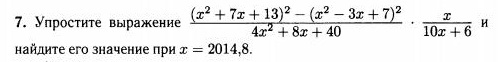
1
(х²+7х+13)²-(х²-3х+7)²   *    х    =
      4х²+8х+40               10х+6

=(х²+7х+13-х²+3х-7)(х²+7х+13+х²-3х+7)  *      х    =
                2(2х²+4х+20)                              10х+6

=(10х+6)(2х²+4х+20)  *    х     =   х   =2014,8 =1007,4
     2(2х²+4х+20)          10х+6       2         2
Вас заинтересует