• Предмет: Алгебра
  • Автор: Анюта07
  • Вопрос задан 11 лет назад

Решить иррациональные уравнения

Приложения:

Ответы

Ответ дал: rokfeller007
0

Возведем в квадрат обе части уравнения,получим:

a)2x-3=2,56

2x=5,56

x=2,78

б)3x^2+5x+8=9+6x+x^2

2x^2-x-1=0

x=1

x=-0,5

Ответ дал: Аноним
0

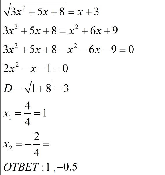
см.рис

==============================================================

Приложения:
Вас заинтересует