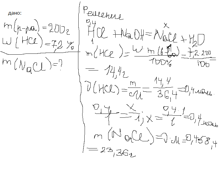
Вычислить массу NaCl, который получился при реакции 200 г раствора HCl с массовой долей HCl 7,2 % с гидроксидом натрия (при реакции образовалась соль и вода)
Ответы
Ответ дал:
1
как- то так, в правильностия срмневаюсь
Приложения:
Вас заинтересует
2 года назад
2 года назад
2 года назад
7 лет назад
7 лет назад
9 лет назад
9 лет назад