• Предмет: Алгебра
  • Автор: alexandradz
  • Вопрос задан 3 года назад

решите уравнение пожалуйста)

Приложения:

Ответы

Ответ дал: ivanovayana20
1
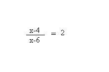
 \frac{x-4}{x-6} =2
2х-12=х-4
х=8
Вас заинтересует