• Предмет: Алгебра
  • Автор: mfnforgive
  • Вопрос задан 3 года назад

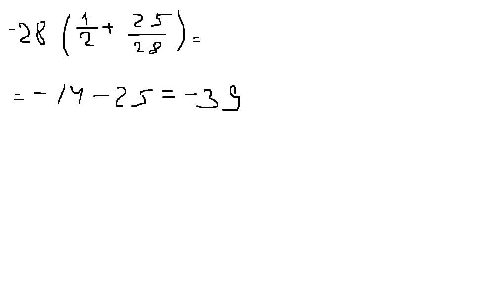
-28( \frac{1}{2} + \frac{25}{28} )
найдите значение выражения

Ответы

Ответ дал: Ekaterina1819
1
Получится вот так :)
Приложения:
Ответ дал: diyor2002
1
 Вот это правильное решение:-28( \frac{1}{2}+ \frac{25}{28} )=-28( \frac{14}{28}+ \frac{25}{28} )=-28* \frac{39}{28} =-39
Вас заинтересует