• Предмет: Алгебра
  • Автор: tahabauer
  • Вопрос задан 3 года назад

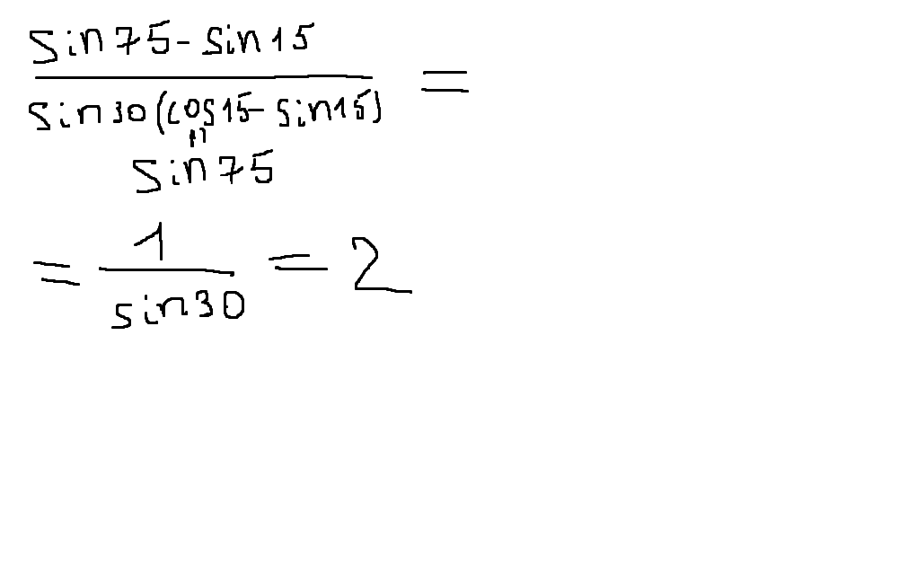
sin75-sin15 дробная черта sin30cos15-sin30sin15


Ekaterina1819: Вы уверены что в знаменателе после минуса два синуса, а не синус и косинус?
tahabauer: нет я уверен то что после знака минуса стоят два синуса

Ответы

Ответ дал: Ekaterina1819
1
Получится вот так :)
Приложения:

tahabauer: ой спасибо
Ekaterina1819: Пожалуйста
Ekaterina1819: :)
Ответ дал: kostet1998
0
____________________________________
Приложения:
Вас заинтересует