• Предмет: Алгебра
  • Автор: ghjykululil
  • Вопрос задан 3 года назад

ПОМОГИТЕ РЕШИТЬ!!!!!!
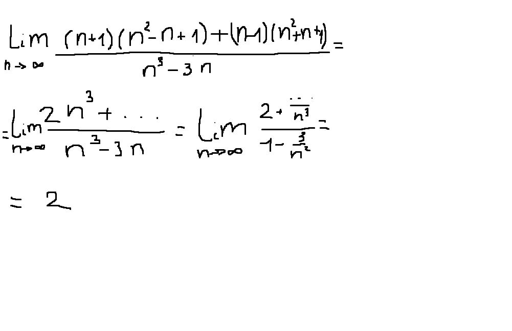
 \lim_{n \to \infty} ((n+1)^3+(n-1)^3)/(n^3-3n)

Ответы

Ответ дал: kostet1998
1
________________________________
Приложения:

ghjykululil: вместо многоточий что должно быть?
kostet1998: ну я типо скобки раскрыл
kostet1998: там всё равно многоточие в ноль уходит т к степень меньше 3
ghjykululil: всё поняла, спасибо))
Вас заинтересует