• Предмет: Математика
  • Автор: Leonov3viktor
  • Вопрос задан 3 года назад

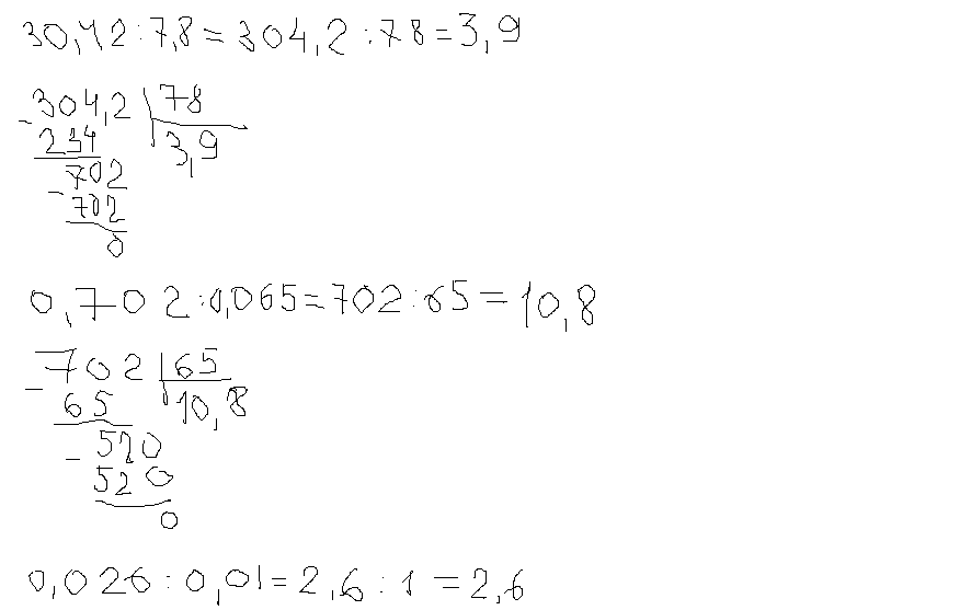
Помогите мне срочно надо 30,42:7,8= 0,702:0,065= 0,026:0,01= пожалуйста в столбик


Leonov3viktor: Помогите

Ответы

Ответ дал: математик2011
41
Дружище, учи правила! Дальше будет хуже!
Приложения:

Leonov3viktor: СПС. Я знаю сегодня довалить правила буду перездовать
Leonov3viktor: сегодня здовали
Вас заинтересует