• Предмет: Алгебра
  • Автор: kirichenkonast
  • Вопрос задан 2 года назад

5( степени -12) * 5( в степени -14)/ 5( в степени - 24)

Ответы

Ответ дал: rextoss
1
5^-12 x 5^-14 / 5^-24 = 5^-2

kirichenkonast: у меня у выражение просто 5\
rextoss: ну смотри
rextoss: -12+(-14)=-26
kirichenkonast: мгу
rextoss: это было умножение
rextoss: теперь делим
rextoss: т.е. отнимаем
rextoss: -26-(-24)=-26+24=-2
rextoss: вот откуда получается ответ
kirichenkonast: а у меня дан ответ и так получается 0,04
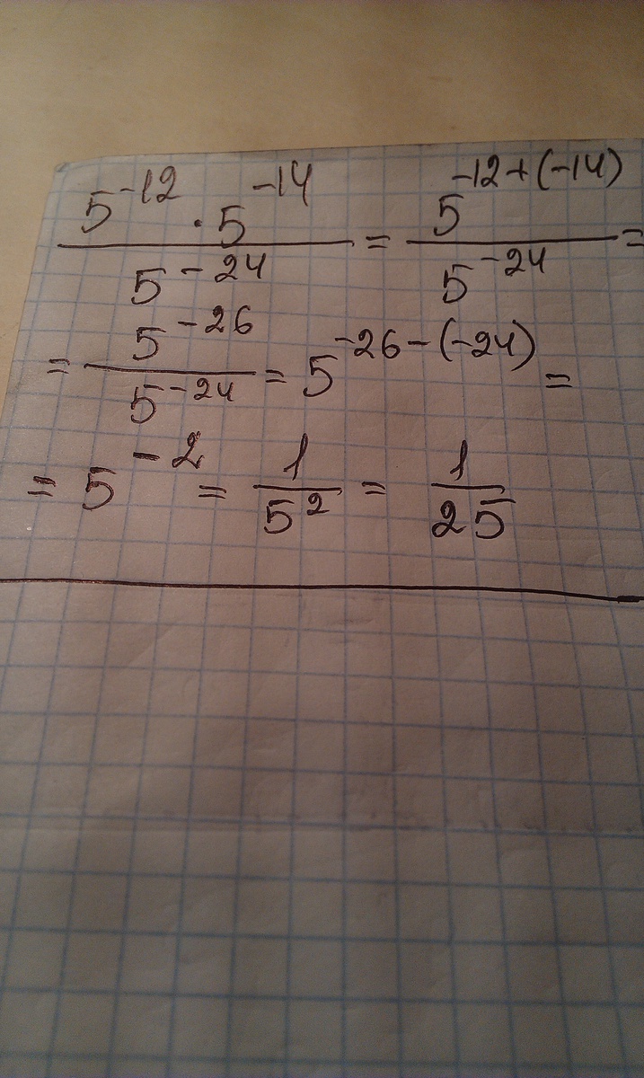
Ответ дал: manyny06
1
решение смотри на фотографии
Приложения:
Вас заинтересует