• Предмет: Алгебра
  • Автор: mastepanova
  • Вопрос задан 3 года назад

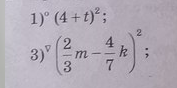
преобразуйте в многочлен стандартного вида:

Приложения:

Ответы

Ответ дал: markello561
0
1)16+8t+t^2
3) 4/6 m^2 8/21mk+8/49k^2


markello561: k^4 - 26 k^2=1 это если свести подобное
markello561: идет
mastepanova: да, спаибо
markello561: приходи ещё если что пиши в ЛИЧНЫХ СООБЩЕНИЯХ
markello561: Спокойной ночи!!!
mastepanova: спокойной
mastepanova: ты есть в вк7
markello561: нет
mastepanova: я не могу пока что писать сообщения
markello561: где лс
Вас заинтересует