Составьте систему двух линейных уравнений с двумя переменными, решением которой служит пара (-1:-2)
Ответы
Ответ дал:
9
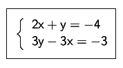
Смотрите решение в прикреплённом файле.
Приложения:

Вас заинтересует
2 года назад
2 года назад
2 года назад
2 года назад
7 лет назад
7 лет назад
9 лет назад