• Предмет: Геометрия
  • Автор: Целофанчик
  • Вопрос задан 11 лет назад

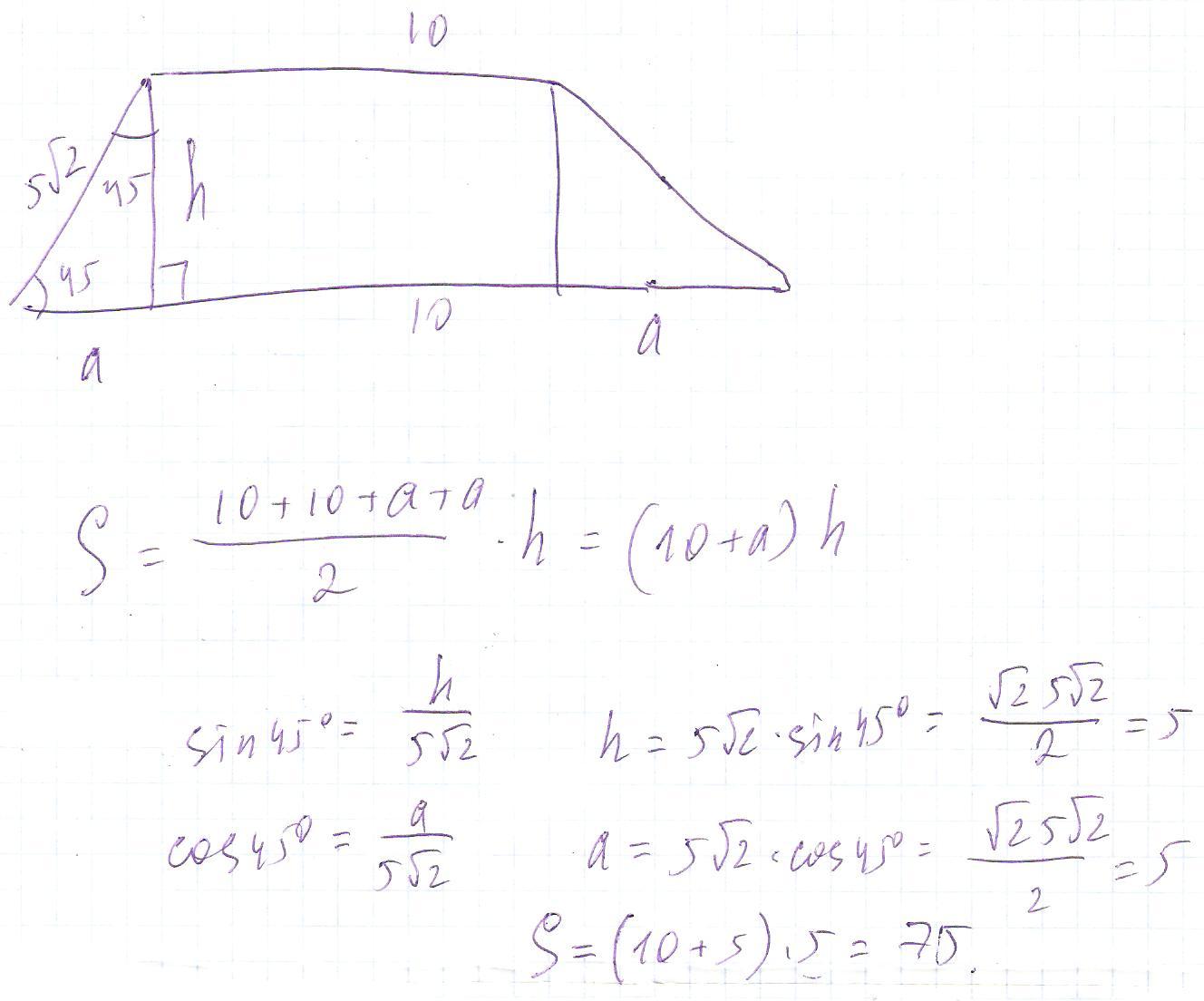
Найдите площадь трапеции

Приложения:

Ответы

Ответ дал: Artem112
0

надеюсь будет понятно...

Приложения:
Вас заинтересует