• Предмет: Математика
  • Автор: Аноним
  • Вопрос задан 3 года назад

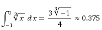
Вычислите площадь фигуры,ограниченной линии
y=³√x x= -1. y=0


MrLyanda: Через интеграл?

Ответы

Ответ дал: MrLyanda
0
Попытался в конструкторе написать, не получилось. Поэтому скриншот.
Приложения:
Вас заинтересует