• Предмет: Математика
  • Автор: snazyedits
  • Вопрос задан 3 года назад

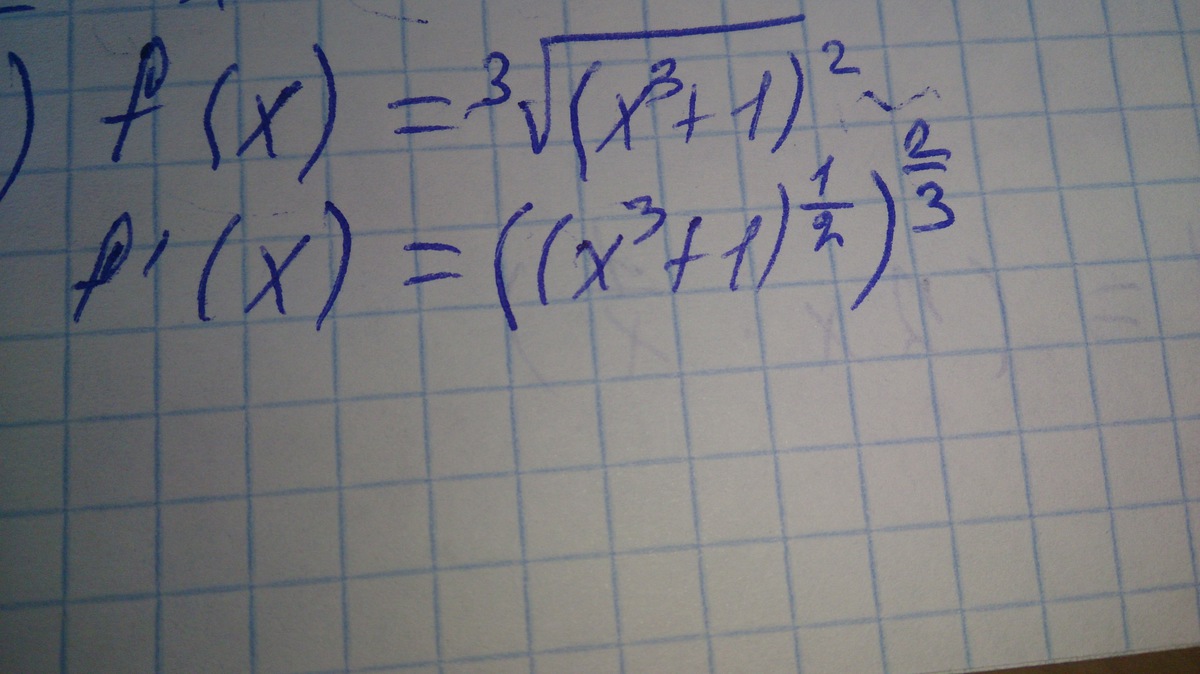
Производная функция. Прошу помощи. С корнем не умею решать

Приложения:

Ответы

Ответ дал: tausinv
0
Корень n-й степени представляется как степень 1/n, далее работаем, как с обычной степенью.
(x^3 + 1)^(2/3) = (2/3)*((x^3 + 1)^(-1/3)) * (3x^2)

Вас заинтересует