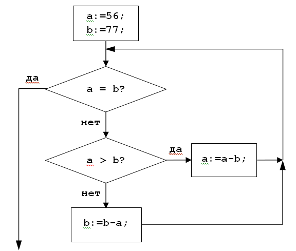
1) Определите значения переменной a после выполнения фрагмента алгоритма

Приложения:

Ответы

Ответ дал: kirden
0
Значение "а" после алгоритма
а= 2
Вас заинтересует