СРОЧНО ПОМОГИТЕ.
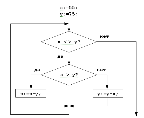
Определите значение переменной x после выполнения фрагмента алгоритма.
Приложения:

Ответы
Ответ дал:
0
У меня получилось:
Х = Y = 5
Х = Y = 5
Вас заинтересует
2 года назад
2 года назад
2 года назад
7 лет назад
7 лет назад
9 лет назад