• Предмет: Алгебра
  • Автор: Ava1212
  • Вопрос задан 3 года назад

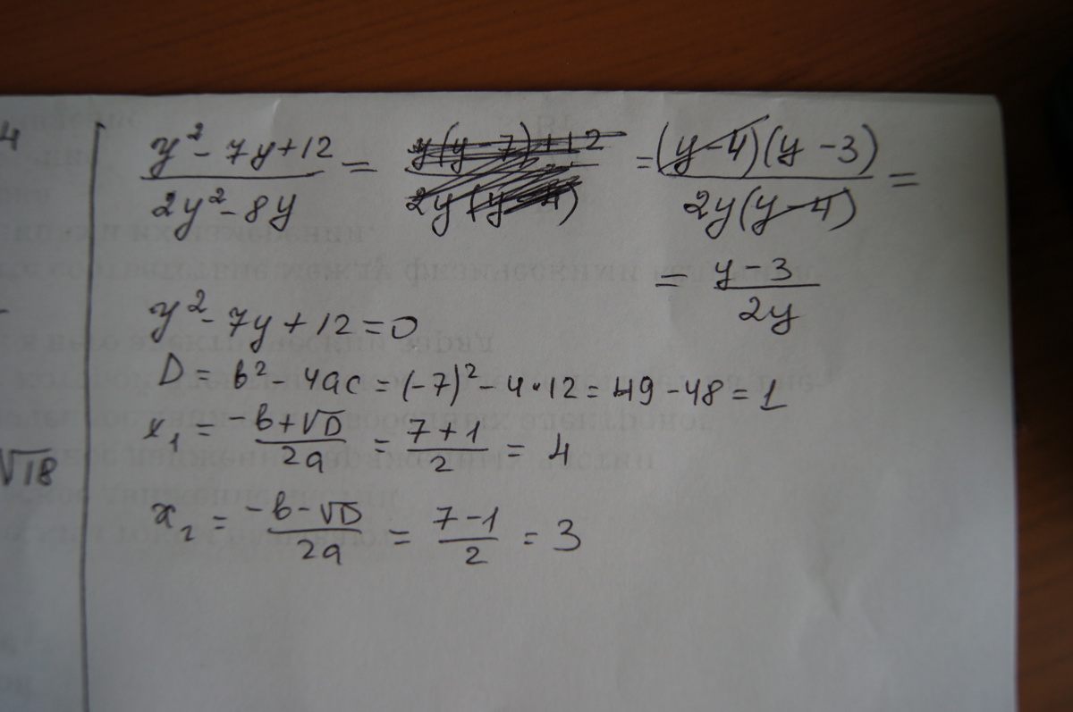
Помогите решить уравнение : 4x^-8x-1=0 x^2-2x-4=0 второе задание : Расположить в порядке возрастания: 3√2; 2√3 и 4. третие задание: Разложить на множетели: -4z^2+11z+3


Ava1212: я в первом ошибся
Rossomaxa2001: привет, я увидела
Ava1212: прив)
Rossomaxa2001: это выражение я вчера раскладывала на множители
Ava1212: =)
Ava1212: нам это задали ) ладно не делай я тругое напишу
Rossomaxa2001: первое уравнение проверь знаки, цифры, а то дискриминант под корнем ответ получается
Ava1212: щя
Ava1212: вроди верно
Ava1212: там 4x^2

Ответы

Ответ дал: Rossomaxa2001
1
,,,,,,,,,,,,,,,,,,,,,,,,,,,,,,,,,,,,,,,,,
Приложения:

Ava1212: там дробь
Rossomaxa2001: уравнение тоже пиши, находя его корни, разбивала на множители, без него никак
Ava1212: ок
Ava1212: спасиб
Ava1212: спасибо )
Rossomaxa2001: пожалуйста)
Ava1212: а для чего внизу написана уравнение
Ava1212: а все понял )
Ava1212: прив помоги плз :)
Ava1212: помоги пожлст )
Вас заинтересует