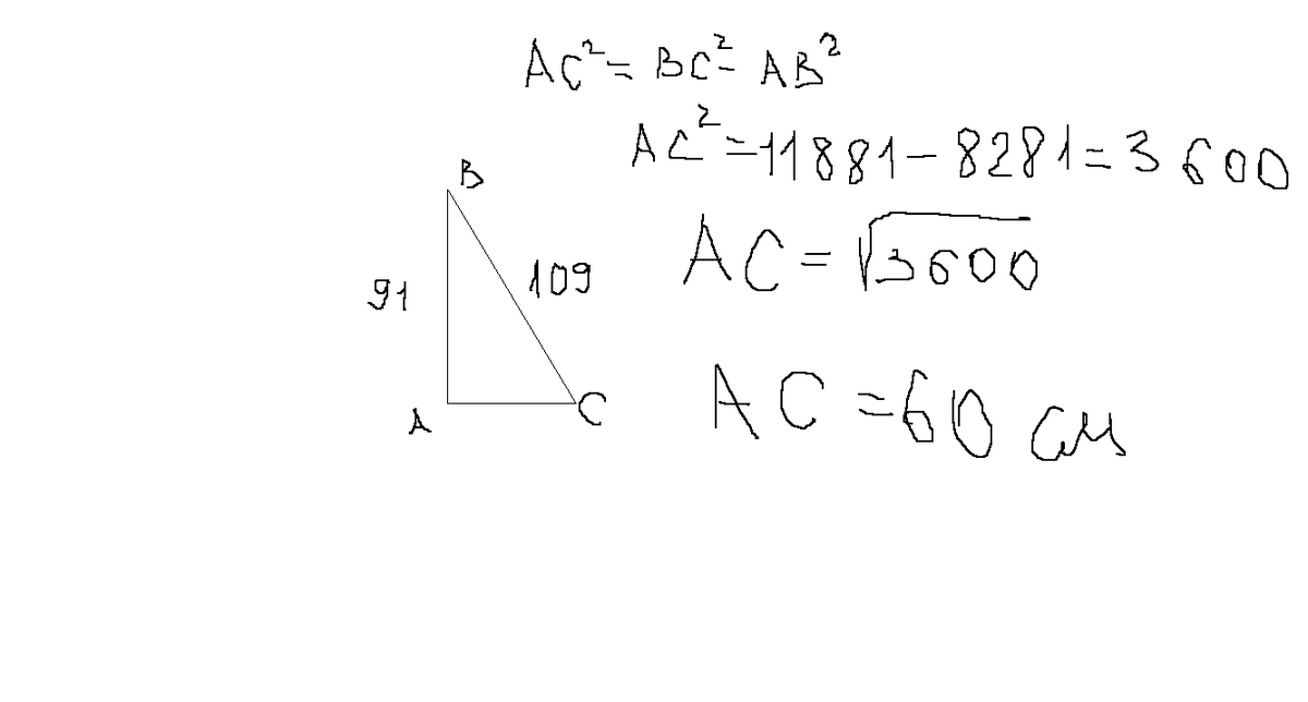
одна сторона прямоугольника равна 91 см,а его диагональ-109 см.Найдите вторую сторону прямоугольника.
Ответы
Ответ дал:
0
Смотри ...........................
Приложения:

Ответ дал:
0
Диагональ с прилежащими 2мя сторонами прямоугольника составляет прямоугольный треугольник, у которго не известен катит. По теореме Пифагоре находим: 109^2 - 91^2 = = 60. Ответ: 60
Приложения:

Вас заинтересует
2 года назад
2 года назад
8 лет назад
8 лет назад
10 лет назад