• Предмет: Алгебра
  • Автор: Mara2001
  • Вопрос задан 11 лет назад

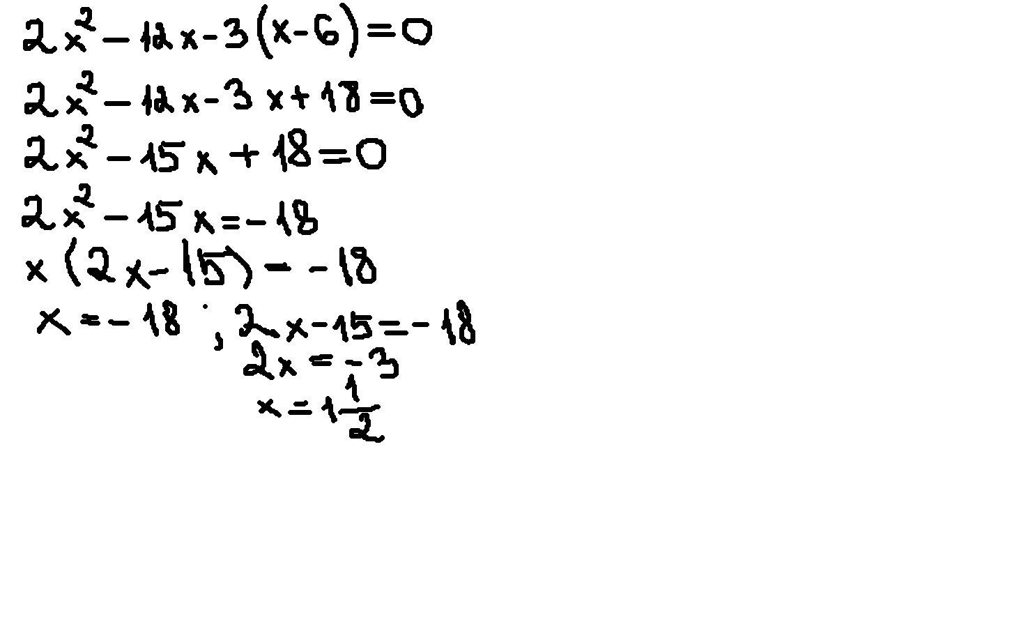
2х во второй степени -12х -3 (х-6) = 0 

 Помогите, буду благодарна

Ответы

Ответ дал: МАрИйКа14
0

Подробное решение во вложении.

В ответе не совсем уверена.

 

Приложения:
Ответ дал: Маруся133
0

2x во второй степени-12x-3x+18=0

2x во второй степени-15x+18=0

D=b во второй степени-4ac =(-15) в квадрате -4*2*18=225-144=81

x1,2=-b+-кореньD/2a=15+-9/4=   x1=6

                                                             x2=1,5

Приложения:
Вас заинтересует