Ответы
Ответ дал:
2
Вот теперь вот другое дело. Говорила же, что в том задании где-то знак не тот =)
Если появятся вопросы, то пиши.
Darknight (Sunny Storm)
Если появятся вопросы, то пиши.
Darknight (Sunny Storm)
Приложения:

akheyddrakula:
ну их же было два
Ответ дал:
1
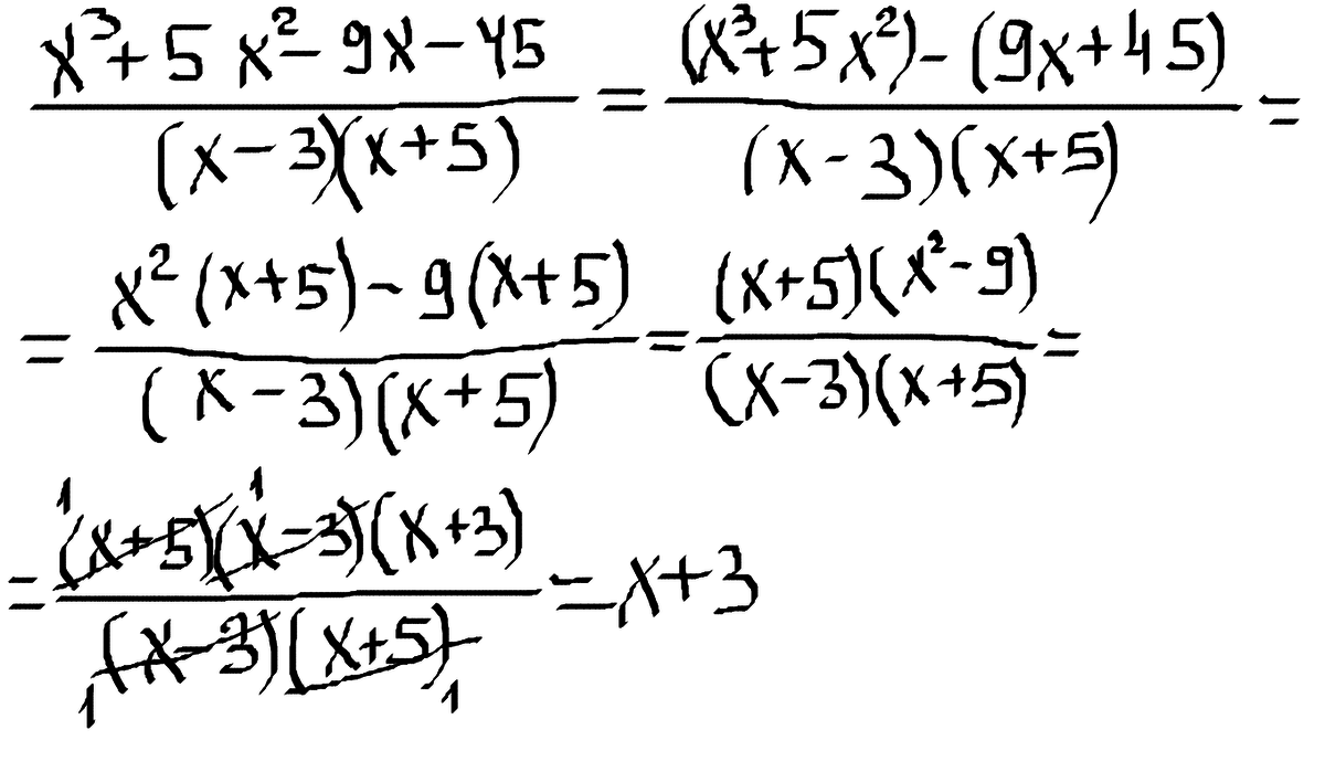
решение на картинке смотри вложение
Приложения:

Вас заинтересует
2 года назад
2 года назад
2 года назад
7 лет назад
7 лет назад
9 лет назад